Официальное опубликование правовых актов
ОФИЦИАЛЬНОЕ ОПУБЛИКОВАНИЕ
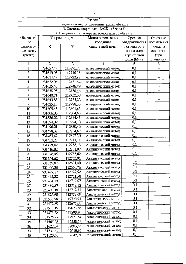
Постановление Правительства Красноярского края от 12.04.2022 № 287-п
"Об установлении зон охраны объекта культурного наследия регионального значения, расположенного в Иланском районе Красноярского края, утверждении требований к градостроительным регламентам в границах территорий данных зон"
Номер опубликования: 2400202204180002
Дата опубликования: 18.04.2022
Страница №7 из 15:
Увеличить