Официальное опубликование правовых актов
ОФИЦИАЛЬНОЕ ОПУБЛИКОВАНИЕ
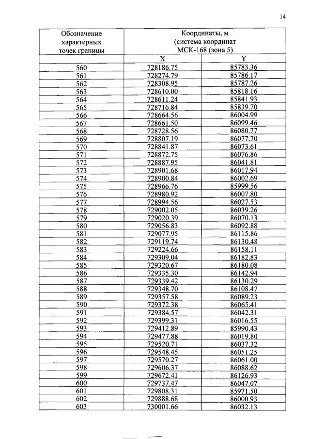
Закон Красноярского края от 06.04.2023 № 5-1716
"О внесении изменений в Закон края "Об утверждении границ г. Канска Красноярского края" и Закон края "О наделении муниципального образования город Канск статусом городского округа" (принят Законодательным Собранием Красноярского края 06.04.2023, подписан Губернатором Красноярского края 13.04.2023)
Номер опубликования: 2400202304140022
Дата опубликования: 14.04.2023
Страница №16 из 36:
Увеличить