Официальное опубликование правовых актов
ОФИЦИАЛЬНОЕ ОПУБЛИКОВАНИЕ
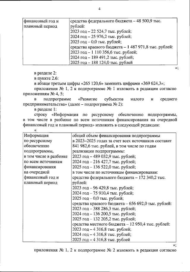
Постановление Правительства Красноярского края от 16.05.2023 № 388-п
"О внесении изменений в постановление Правительства Красноярского края от 30.09.2013 № 505-п "Об утверждении государственной программы Красноярского края "Развитие малого и среднего предпринимательства и инновационной деятельности"
Номер опубликования: 2400202305230008
Дата опубликования: 23.05.2023
Страница №4 из 35:
Увеличить