Официальное опубликование правовых актов
ОФИЦИАЛЬНОЕ ОПУБЛИКОВАНИЕ
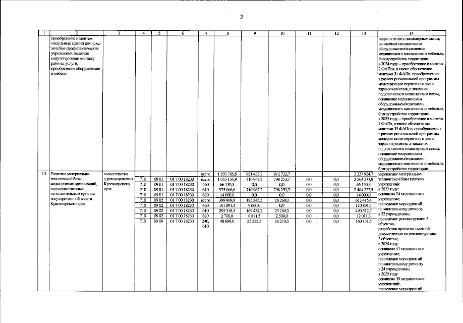
Постановление Правительства Красноярского края от 16.05.2023 № 409-п
"О внесении изменений в постановление Правительства Красноярского края от 30.09.2013 № 516-п "Об утверждении государственной программы Красноярского края "Развитие здравоохранения"
Номер опубликования: 2400202305250006
Дата опубликования: 25.05.2023
Страница №68 из 76:
Увеличить