Официальное опубликование правовых актов
ОФИЦИАЛЬНОЕ ОПУБЛИКОВАНИЕ
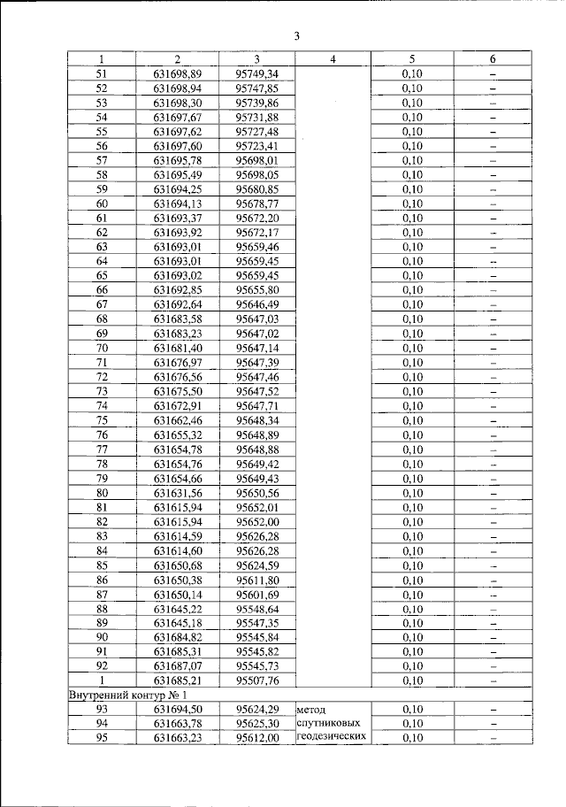
Постановление Правительства Красноярского края от 27.06.2023 № 525-п
"Об установлении зоны охраны объекта культурного наследия регионального значения "Городское начальное училище в Николаевской слободе", 1913–1915 гг., расположенного в г. Красноярске, утверждении режимов использования земель и земельных участков, требований к градостроительным регламентам в границах территории данной зоны"
Номер опубликования: 2400202307040009
Дата опубликования: 04.07.2023
Страница №4 из 11:
Увеличить