Официальное опубликование правовых актов
ОФИЦИАЛЬНОЕ ОПУБЛИКОВАНИЕ
Закон Красноярского края от 22.06.2023 № 5-1953
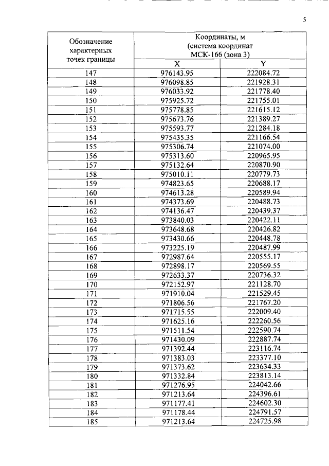
"О внесении изменений в Закон края "Об установлении границ и наделении соответствующим статусом муниципального образования Енисейский район и находящихся в его границах иных муниципальных образований" (принят Законодательным Собранием Красноярского края 22.06.2023, подписан временно исполняющим обязанности Губернатора Красноярского края 04.07.2023)
Номер опубликования: 2400202307050008
Дата опубликования: 05.07.2023
Страница №615 из 1433:
Увеличить