Официальное опубликование правовых актов
ОФИЦИАЛЬНОЕ ОПУБЛИКОВАНИЕ
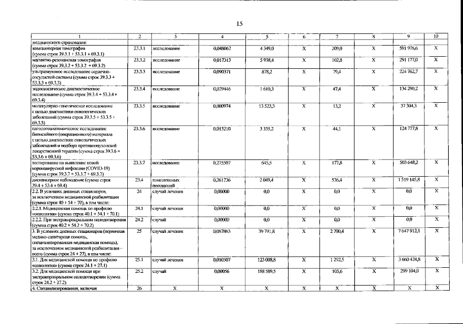
Постановление Правительства Красноярского края от 11.07.2023 № 573-п
"О внесении изменений в постановление Правительства Красноярского края от 27.12.2022 № 1177-п "Об утверждении Территориальной программы государственных гарантий бесплатного оказания гражданам медицинской помощи в Красноярском крае на 2023 год и на плановый период 2024 и 2025 годов"
Номер опубликования: 2400202307190001
Дата опубликования: 19.07.2023
Страница №21 из 101:
Увеличить