Официальное опубликование правовых актов
ОФИЦИАЛЬНОЕ ОПУБЛИКОВАНИЕ
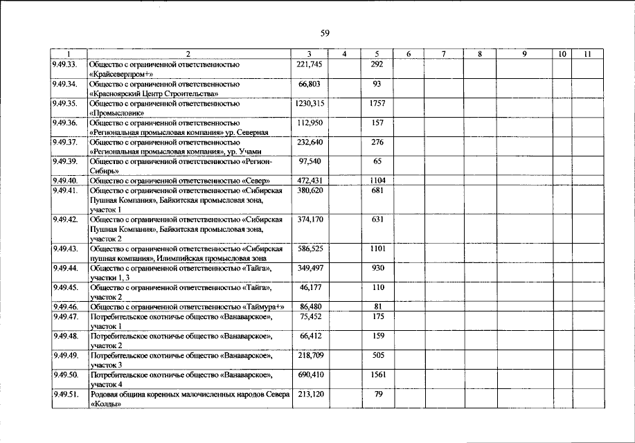
Указ Губернатора Красноярского края от 31.07.2023 № 217-уг
"Об утверждении лимита добычи охотничьих ресурсов на территории Красноярского края в сезоне охоты 2023—2024 годов"
Номер опубликования: 2400202308040001
Дата опубликования: 04.08.2023
Страница №61 из 85:
Увеличить