Официальное опубликование правовых актов
ОФИЦИАЛЬНОЕ ОПУБЛИКОВАНИЕ
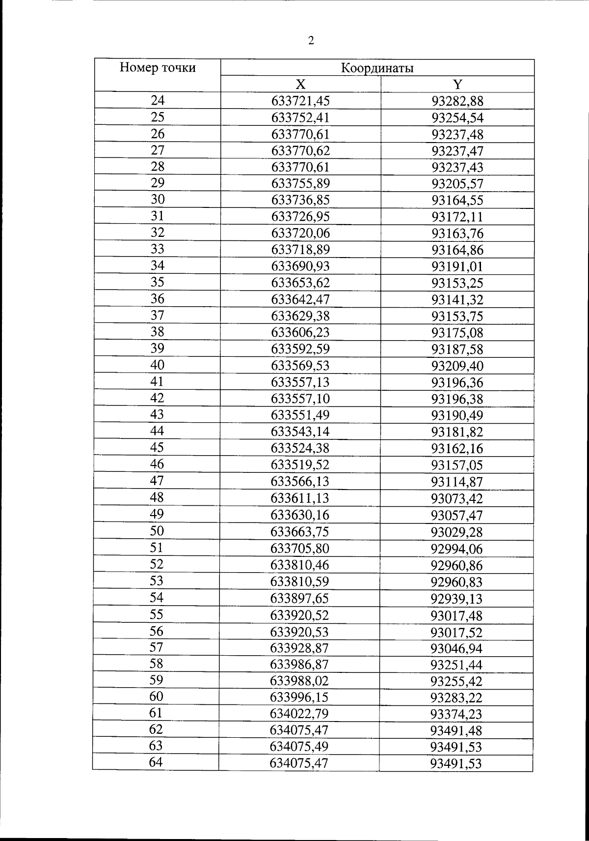
Постановление Правительства Красноярского края от 06.09.2023 № 692-п
"О внесении изменений в постановление Правительства Красноярского края от 27.06.2023 № 531-п "О резервировании земель для государственных нужд Красноярского края"
Номер опубликования: 2400202309150004
Дата опубликования: 15.09.2023
Страница №4 из 12:
Увеличить