Официальное опубликование правовых актов
ОФИЦИАЛЬНОЕ ОПУБЛИКОВАНИЕ
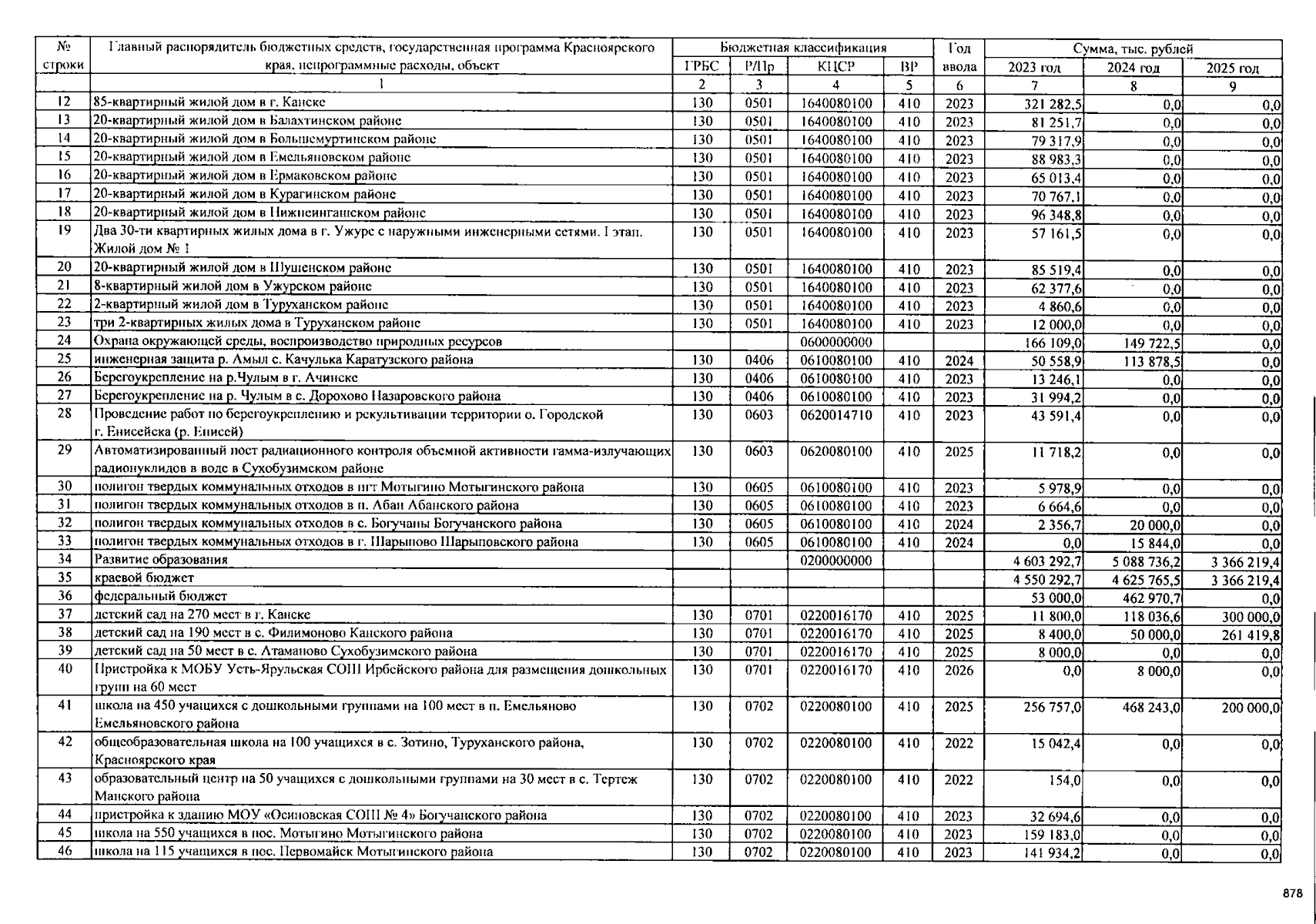
Закон Красноярского края от 29.09.2023 № 6-2010
"О внесении изменений в Закон края "О краевом бюджете на 2023 год и плановый период 2024-2025 годов" (принят Законодательным Собранием Красноярского края 29.09.2023, подписан Губернатором Красноярского края 10.10.2023)
Номер опубликования: 2400202310120004
Дата опубликования: 12.10.2023
Страница №878 из 893:
Увеличить