Официальное опубликование правовых актов
ОФИЦИАЛЬНОЕ ОПУБЛИКОВАНИЕ
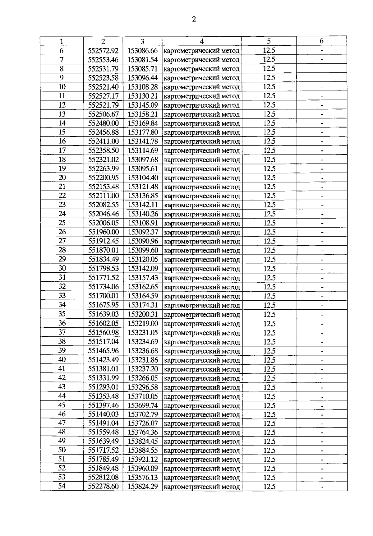
Указ Губернатора Красноярского края от 13.11.2023 № 313-уг
"О создании охранной зоны памятника природы краевого значения "Пещера Большая Орешная", установлении ее границ и утверждении Положения о ней"
Номер опубликования: 2400202311150001
Дата опубликования: 15.11.2023
Страница №3 из 6:
Увеличить