Официальное опубликование правовых актов
ОФИЦИАЛЬНОЕ ОПУБЛИКОВАНИЕ
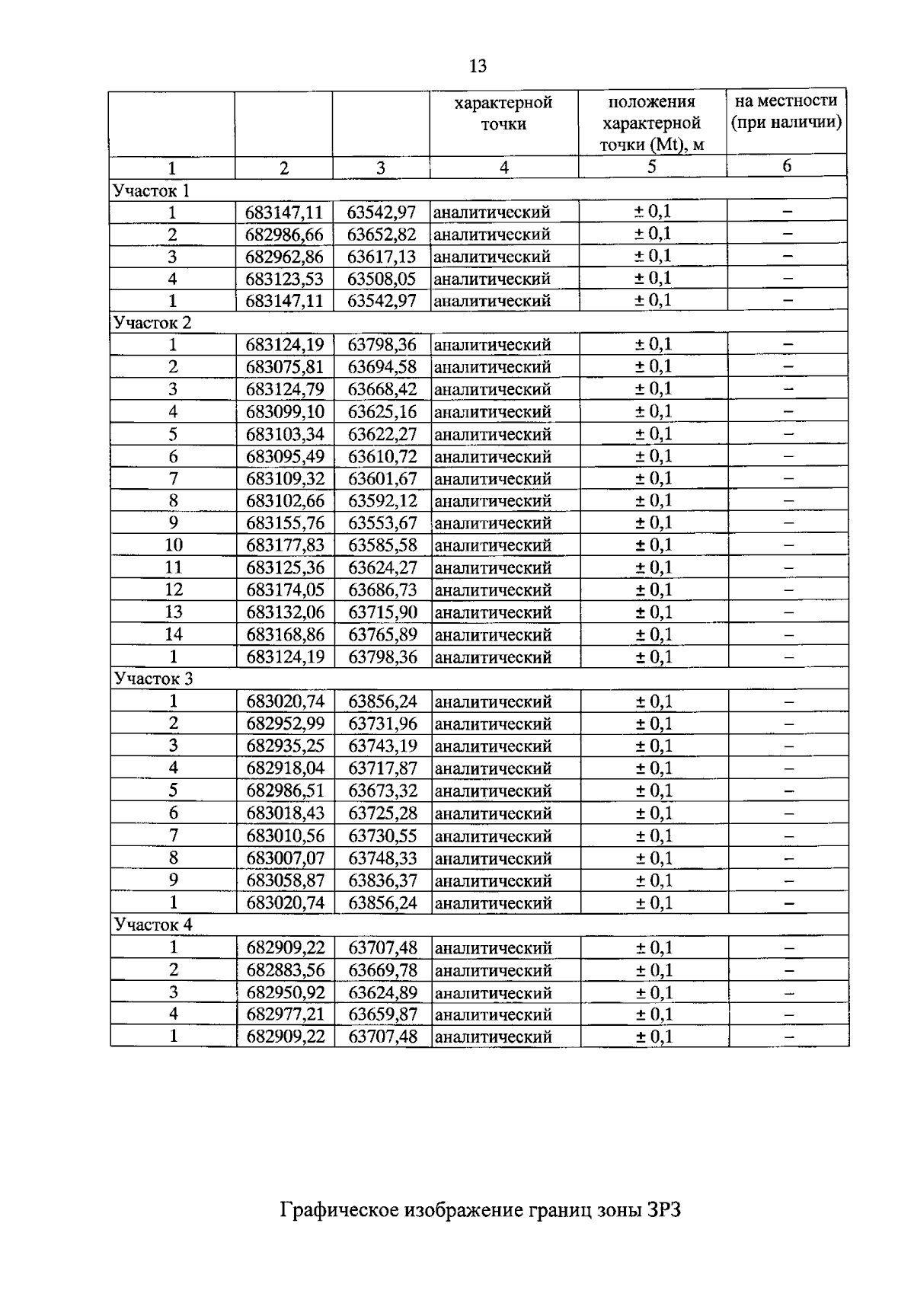
Постановление Правительства Красноярского края от 13.12.2023 № 981-п
"Об установлении зон охраны объектов культурного наследия регионального значения, расположенных в Ирбейском районе Красноярского края, утверждении требований к градостроительным регламентам в границах территорий данных зон"
Номер опубликования: 2400202312210002
Дата опубликования: 21.12.2023
Страница №15 из 27:
Увеличить