Официальное опубликование правовых актов
ОФИЦИАЛЬНОЕ ОПУБЛИКОВАНИЕ
Постановление Правительства Красноярского края от 13.12.2023 № 979-п
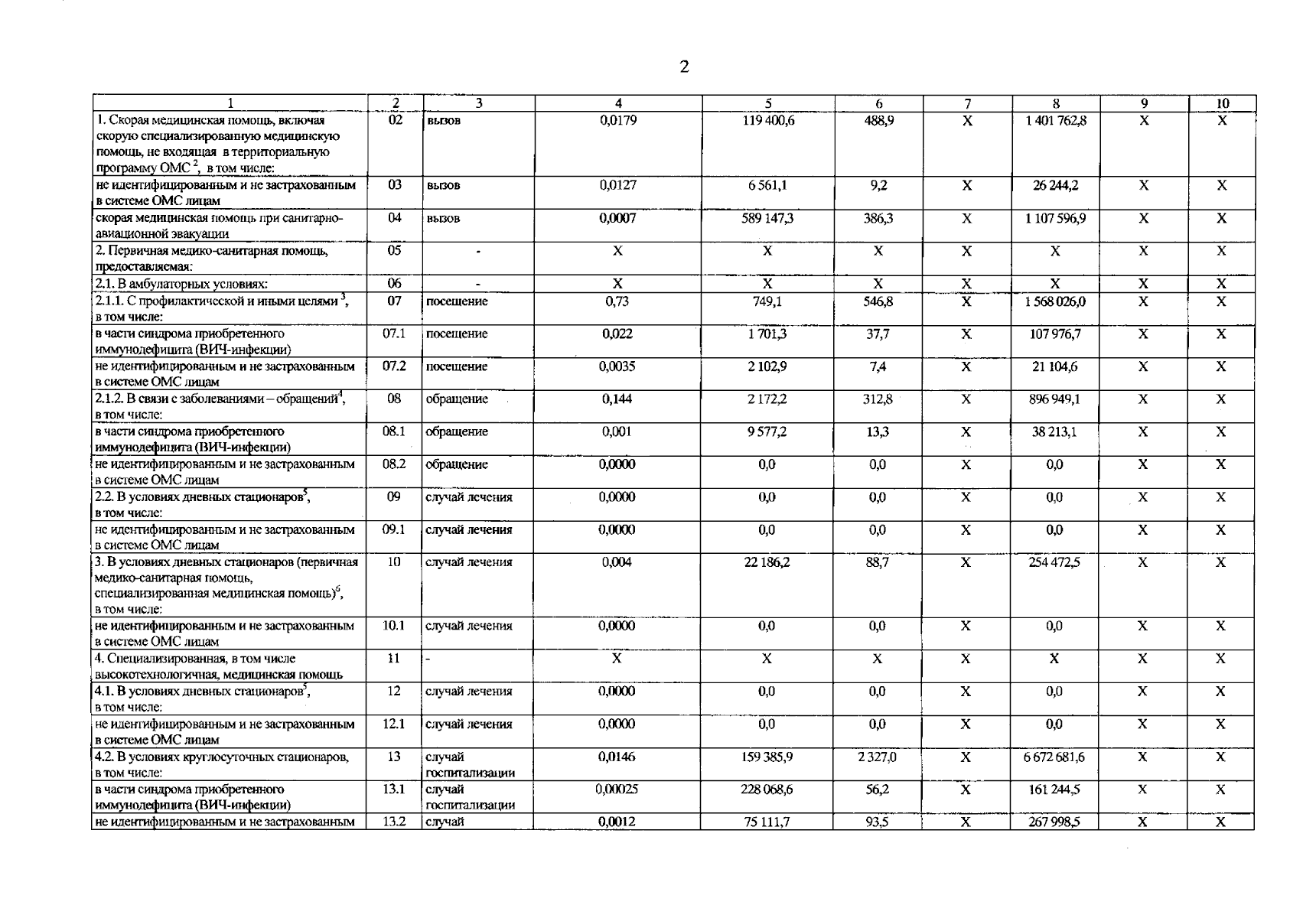
"О внесении изменений в постановление Правительства Красноярского края от 27.12.2022 № 1177-п "Об утверждении Территориальной программы государственных гарантий бесплатного оказания гражданам медицинской помощи в Красноярском крае на 2023 год и на плановый период 2024 и 2025 годов"
Номер опубликования: 2400202312220005
Дата опубликования: 22.12.2023
Страница №11 из 45:
Увеличить