Официальное опубликование правовых актов
ОФИЦИАЛЬНОЕ ОПУБЛИКОВАНИЕ
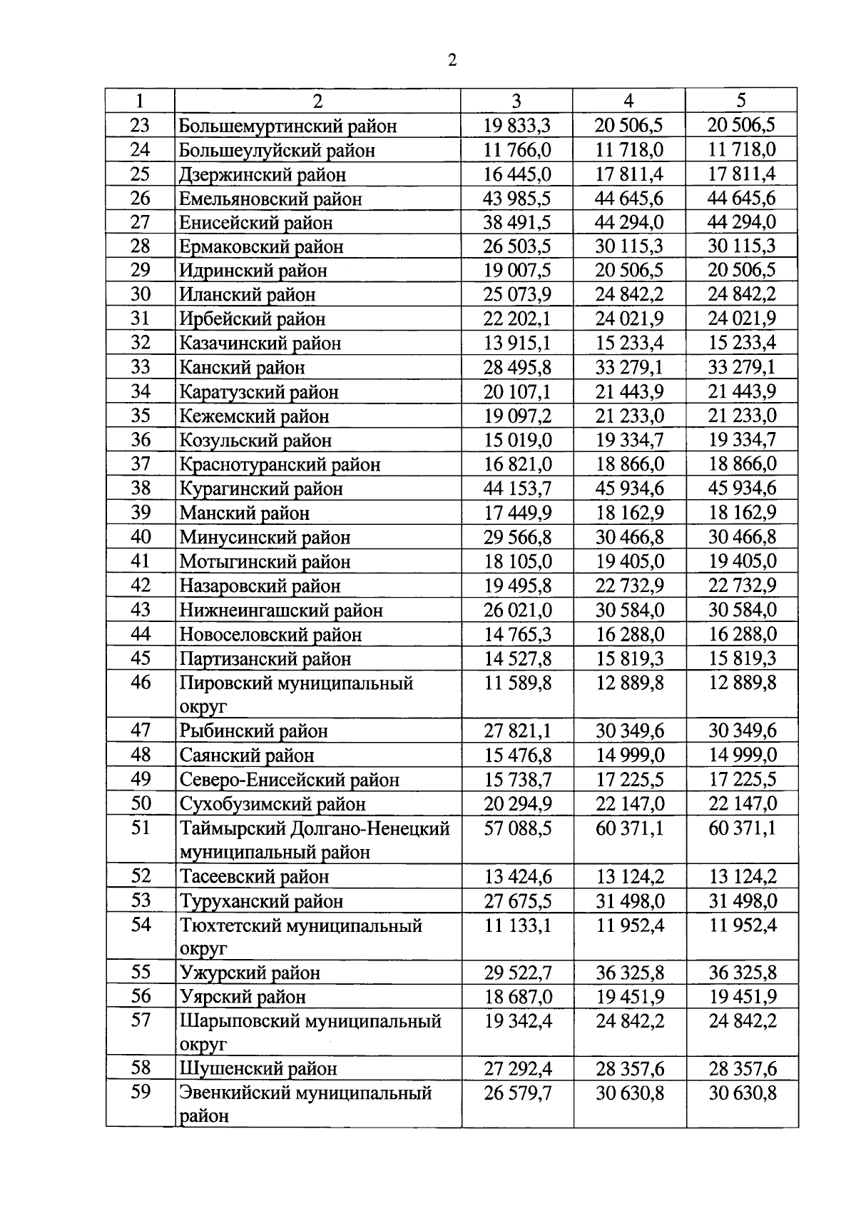
Постановление Правительства Красноярского края от 25.12.2023 № 1039-п
"О внесении изменения в постановление Правительства Красноярского края от 15.09.2020 № 622-п "О предоставлении иных межбюджетных трансфертов бюджетам муниципальных образований Красноярского края на выплату ежемесячного денежного вознаграждения за классное руководство педагогическим работникам муниципальных общеобразовательных организаций"
Номер опубликования: 2400202312280002
Дата опубликования: 28.12.2023
Страница №4 из 5:
Увеличить