Официальное опубликование правовых актов
ОФИЦИАЛЬНОЕ ОПУБЛИКОВАНИЕ
Постановление Правительства Красноярского края от 26.12.2023 № 1079-п
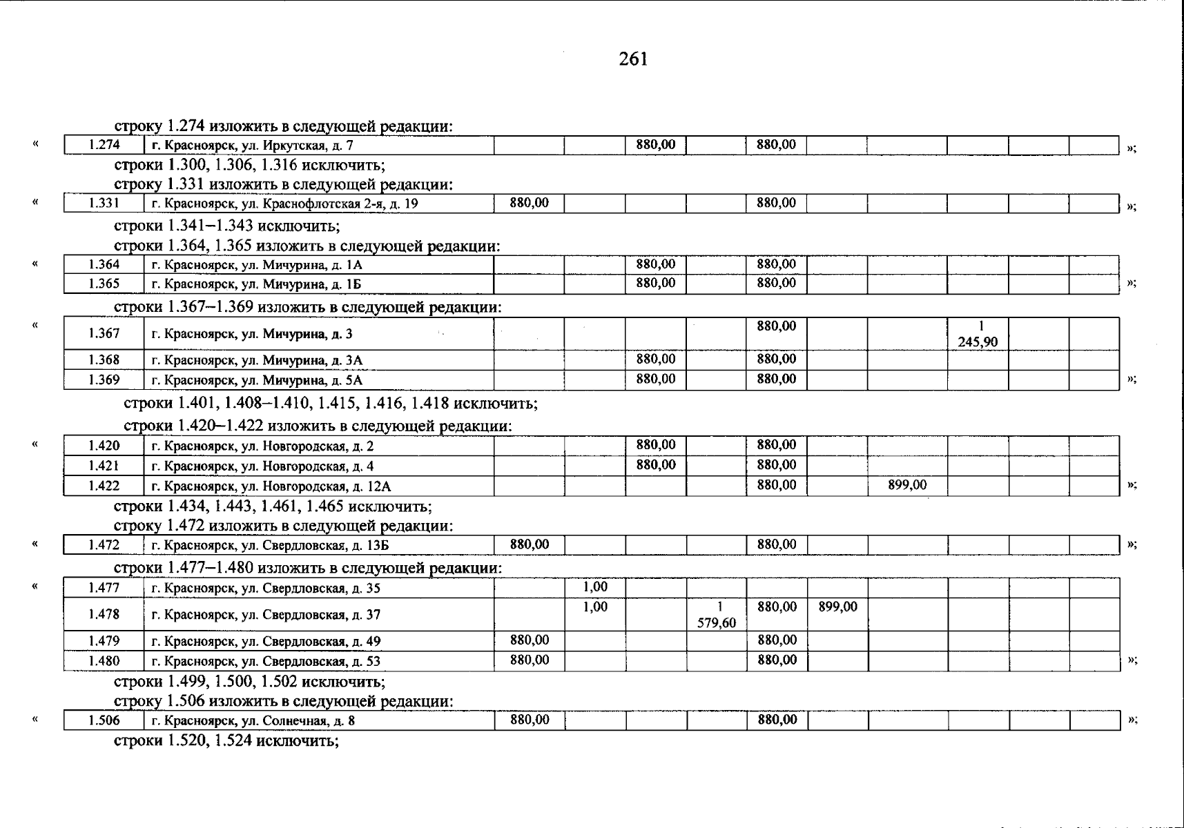
"О внесении изменений в постановление Правительства Красноярского края от 31.05.2022 № 479-п "Об утверждении краткосрочного плана реализации региональной программы капитального ремонта общего имущества в многоквартирных домах, расположенных на территории Красноярского края, утвержденной постановлением Правительства Красноярского края от 27.12.2013 .№ 709-п, на 2023—2025 годы"
Номер опубликования: 2400202312300001
Дата опубликования: 30.12.2023
Страница №261 из 612:
Увеличить