Официальное опубликование правовых актов
ОФИЦИАЛЬНОЕ ОПУБЛИКОВАНИЕ
Закон Красноярского края от 22.12.2023 № 6-2403
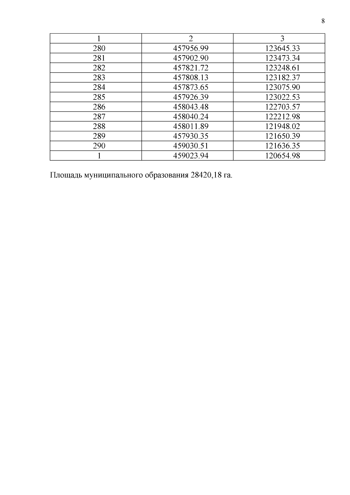
"О внесении изменений в Закон края "Об установлении границ и наделении соответствующим статусом муниципального образования Курагинский район и находящихся в его границах иных муниципальных образований" и Закон края "О перечне административно-территориальных единиц и территориальных единиц Красноярского края" (принят Законодательным Собранием Красноярского края 22.12.2023, подписан Губернатором Красноярского края 29.12.2023)
Номер опубликования: 2400202312300021
Дата опубликования: 30.12.2023
Страница №13 из 1534:
Увеличить