Официальное опубликование правовых актов
ОФИЦИАЛЬНОЕ ОПУБЛИКОВАНИЕ
Постановление Правительства Красноярского края от 16.01.2024 № 21-п
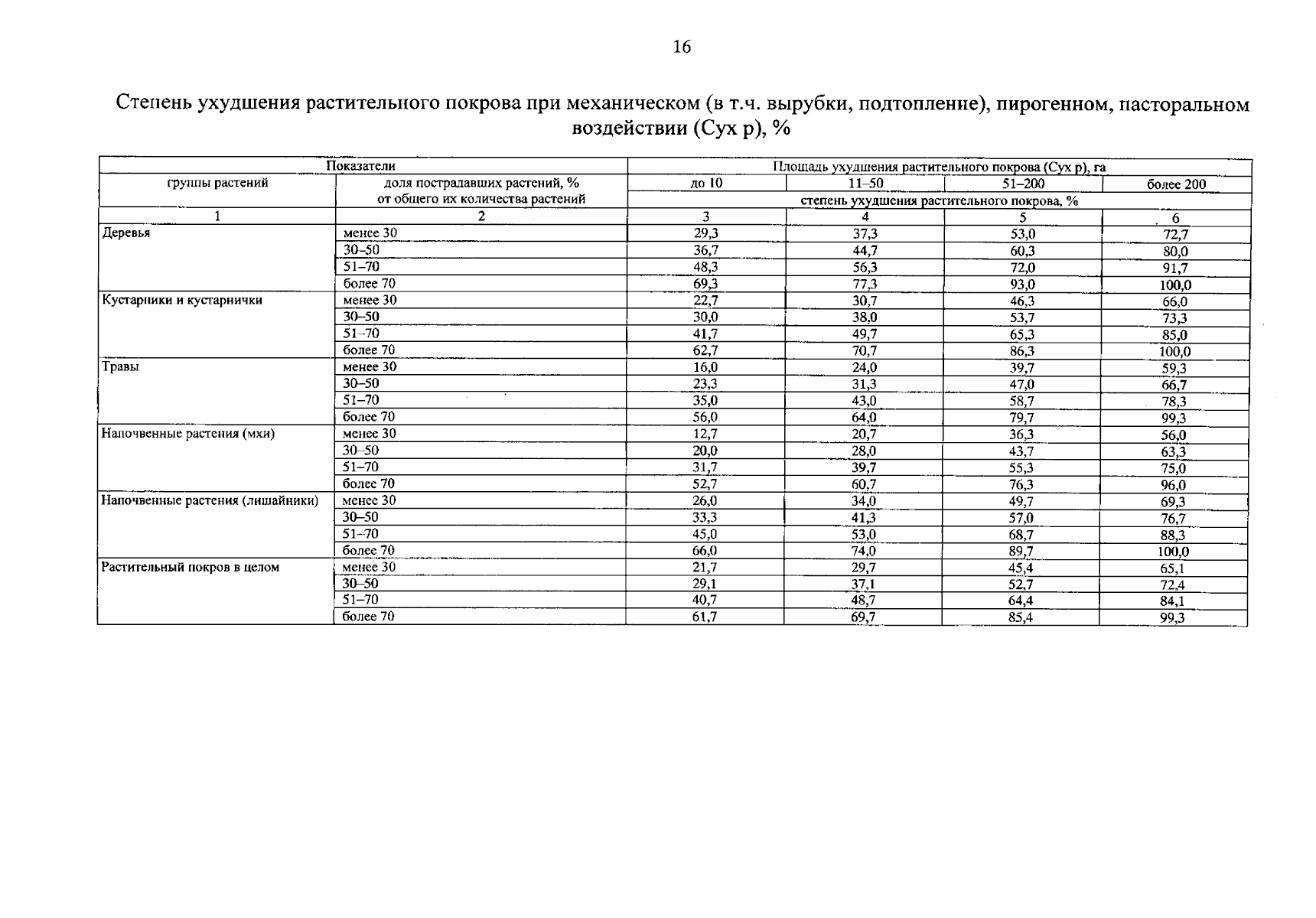
"Об утверждении нормативно-справочных показателей, необходимых для исчисления убытков, причиненных коренным малочисленным народам Российской Федерации, объединениям коренных малочисленных народов Российской Федерации, проживающим на территории Эвенкийского муниципального района Красноярского края, в результате хозяйственной и иной деятельности организаций всех форм собственности и физических лиц в местах традиционного проживания и традиционной хозяйственной деятельности коренных малочисленных народов Российской Федерации"
Номер опубликования: 2400202401220007
Дата опубликования: 22.01.2024
Страница №18 из 24:
Увеличить