Официальное опубликование правовых актов
ОФИЦИАЛЬНОЕ ОПУБЛИКОВАНИЕ
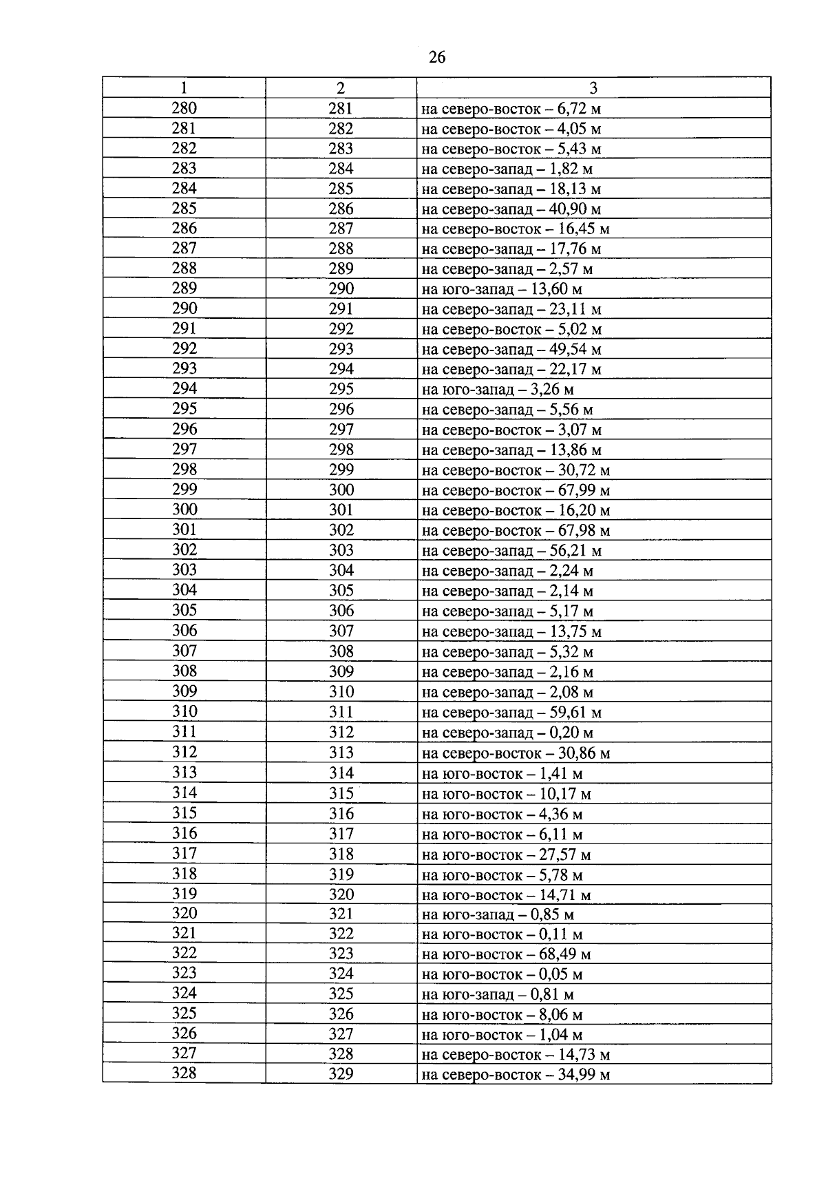
Постановление Правительства Красноярского края от 06.02.2024 № 73-п
"О внесении изменений в постановление Правительства Красноярского края от 18.07.2017 № 406-п "Об утверждении границ зон охраны объектов культурного наследия регионального значения, расположенных в г. Норильске, режимов использования земель и требований к градостроительным регламентам в границах данных зон охраны"
Номер опубликования: 2400202402120009
Дата опубликования: 12.02.2024
Страница №26 из 133:
Увеличить