Официальное опубликование правовых актов
ОФИЦИАЛЬНОЕ ОПУБЛИКОВАНИЕ
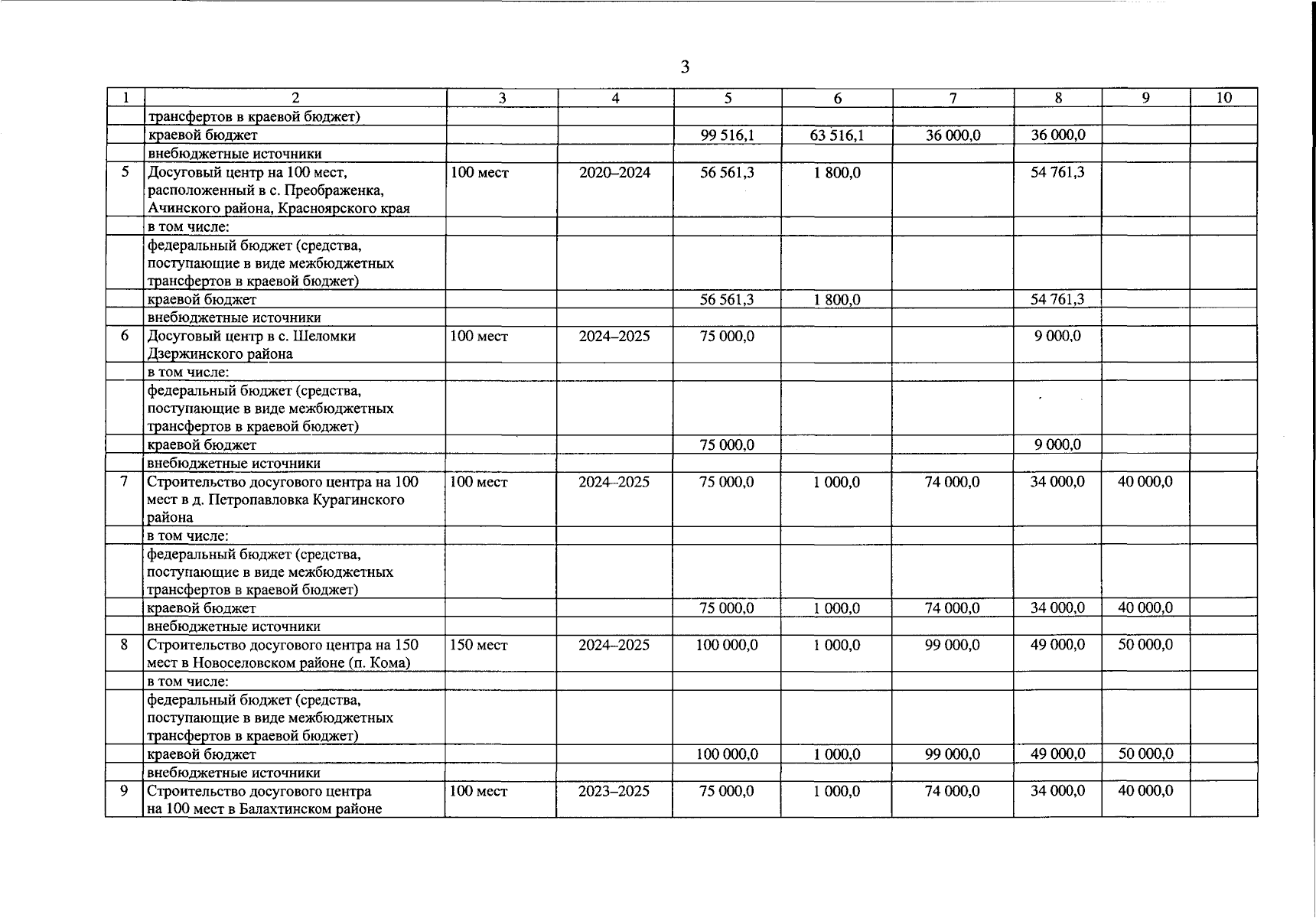
Постановление Правительства Красноярского края от 06.02.2024 № 83-п
"О внесении изменений в постановление Правительства Красноярского края от 30.09.2013 № 511-п "Об утверждении государственной программы Красноярского края "Развитие культуры и туризма"
Номер опубликования: 2400202402160005
Дата опубликования: 16.02.2024
Страница №43 из 49:
Увеличить