Официальное опубликование правовых актов
ОФИЦИАЛЬНОЕ ОПУБЛИКОВАНИЕ
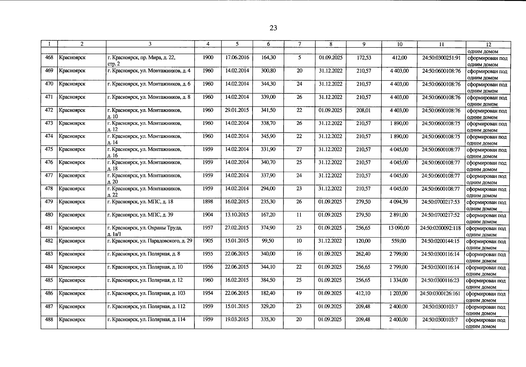
Постановление Правительства Красноярского края от 16.02.2024 № 100-п
"О внесении изменений в постановление Правительства Красноярского края от 29.03.2019 № 144-п "Об утверждении региональной адресной программы "Переселение граждан из аварийного жилищного фонда в Красноярском крае» на 2019–2025 годы"
Номер опубликования: 2400202402220002
Дата опубликования: 22.02.2024
Страница №26 из 70:
Увеличить