Официальное опубликование правовых актов
ОФИЦИАЛЬНОЕ ОПУБЛИКОВАНИЕ
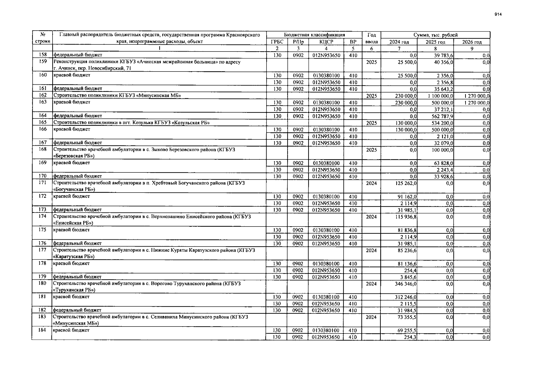
Закон Красноярского края от 18.04.2024 № 7-2641
"О внесении изменений в Закон края "О краевом бюджете на 2024 год и плановый период 2025-2026 годов" (принят Законодательным Собранием Красноярского края 18.04.2024, подписан Губернатором Красноярского края 25.04.2024)
Номер опубликования: 2400202404260013
Дата опубликования: 26.04.2024
Страница №914 из 924:
Увеличить