Официальное опубликование правовых актов
ОФИЦИАЛЬНОЕ ОПУБЛИКОВАНИЕ
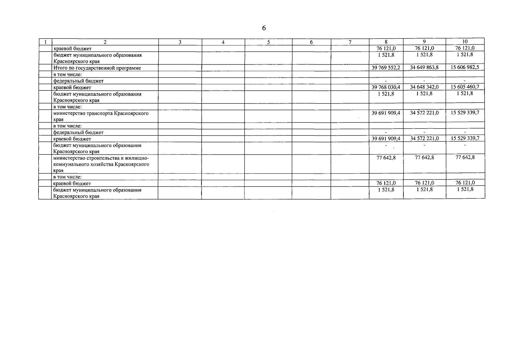
Постановление Правительства Красноярского края от 23.04.2024 № 283-п
"О внесении изменений в постановление Правительства Красноярского края от 30.09.2013 № 510-п "Об утверждении государственной программы Красноярского края "Развитие транспортной системы"
Номер опубликования: 2400202405020005
Дата опубликования: 02.05.2024
Страница №34 из 37:
Увеличить