Официальное опубликование правовых актов
ОФИЦИАЛЬНОЕ ОПУБЛИКОВАНИЕ
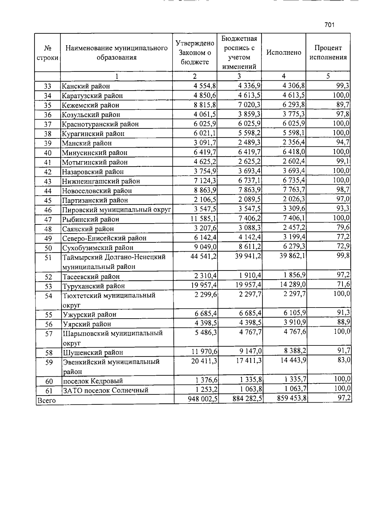
Закон Красноярского края от 04.07.2024 № 7-2935
"Об исполнении краевого бюджета за 2023 год" (принят Законодательным Собранием Красноярского края 04.07.2024, подписан Губернатором Красноярского края 12.07.2024)
Номер опубликования: 2400202407150006
Дата опубликования: 15.07.2024
Страница №701 из 787:
Увеличить