Официальное опубликование правовых актов
ОФИЦИАЛЬНОЕ ОПУБЛИКОВАНИЕ
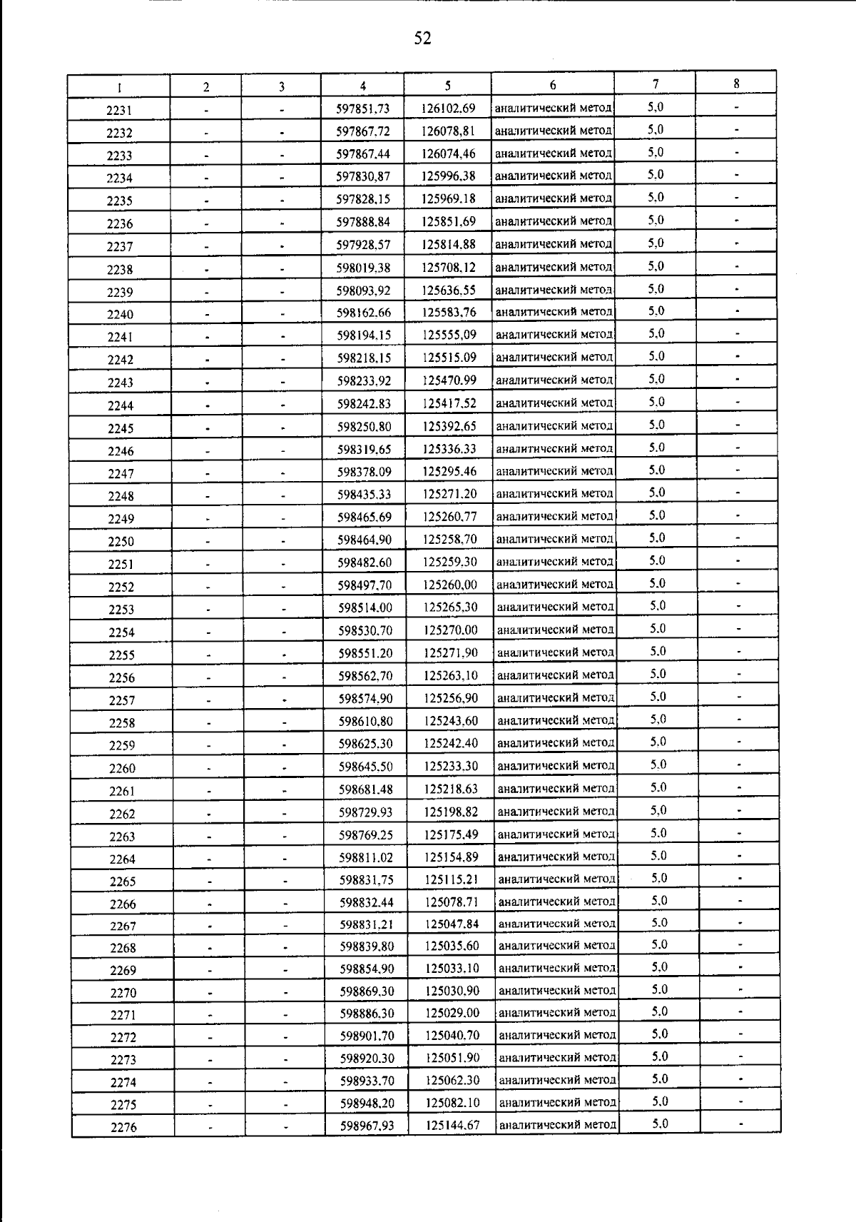
Постановление Правительства Красноярского края от 16.07.2024 № 515-п
"О внесении изменений в постановление Правительства Красноярского края от 14.05.2019 № 255-п "Об установлении границ лесопаркового зеленого пояса города Красноярска"
Номер опубликования: 2400202407220016
Дата опубликования: 22.07.2024
Страница №53 из 1601:
Увеличить