Официальное опубликование правовых актов
ОФИЦИАЛЬНОЕ ОПУБЛИКОВАНИЕ
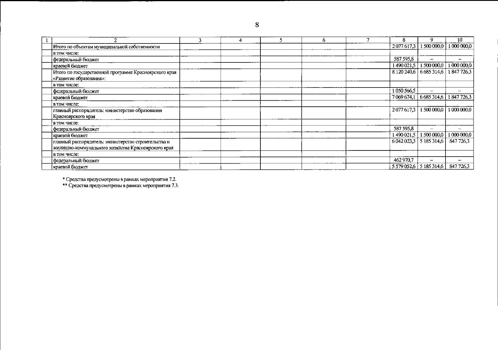
Постановление Правительства Красноярского края от 30.07.2024 № 547-п
"О внесении изменений в постановление Правительства Красноярского края от 30.09.2013 № 508-п "Об утверждении государственной программы Красноярского края "Развитие образования"
Номер опубликования: 2400202408050001
Дата опубликования: 05.08.2024
Страница №78 из 82:
Увеличить