Официальное опубликование правовых актов
ОФИЦИАЛЬНОЕ ОПУБЛИКОВАНИЕ
Постановление Правительства Красноярского края от 10.09.2024 № 629-п
"О внесении изменений в постановление Правительства Красноярского края от 15.11.2016 № 569-п "Об утверждении границ зон охраны объектов культурного наследия федерального, регионального и местного (муниципального) значения, расположенных в г. Красноярске, особых режимов использования земель и требований к градостроительным регламентам в границах данных зон охраны"
Номер опубликования: 2400202409190005
Дата опубликования: 19.09.2024
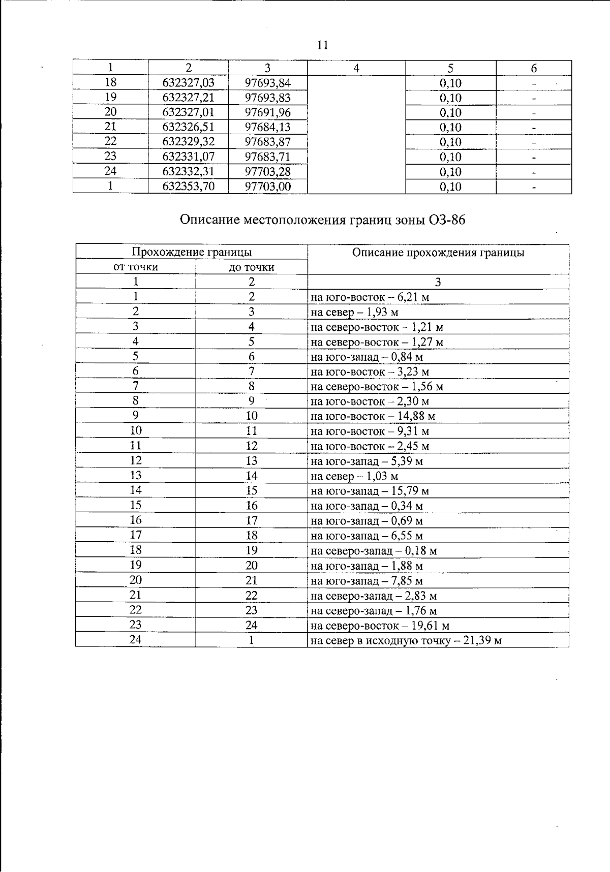
Страница №11 из 48:
Увеличить