Официальное опубликование правовых актов
ОФИЦИАЛЬНОЕ ОПУБЛИКОВАНИЕ
Постановление Правительства Красноярского края от 21.10.2024 № 772-п
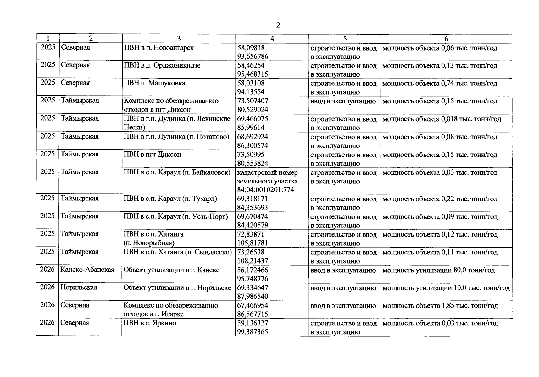
"О внесении изменений в постановление Правительства Красноярского края от 30.08.2018 № 497-п "Об утверждении региональной программы в области обращения с отходами, в том числе с твердыми коммунальными отходами, в Красноярском крае на 2018—2035 годы"
Номер опубликования: 2400202410300001
Дата опубликования: 30.10.2024
Страница №17 из 30:
Увеличить