Официальное опубликование правовых актов
ОФИЦИАЛЬНОЕ ОПУБЛИКОВАНИЕ
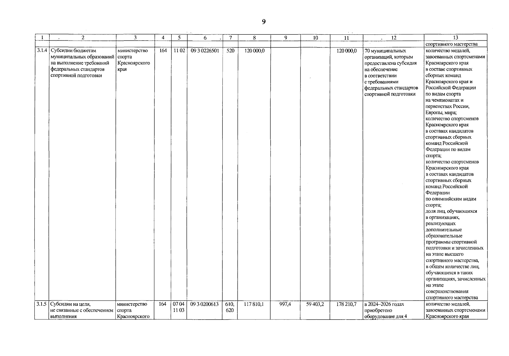
Постановление Правительства Красноярского края от 10.12.2024 № 1001-п
"О внесении изменений в постановление Правительства Красноярского края от 30.09.2013 № 518-п "Об утверждении государственной программы Красноярского края "Развитие физической культуры и спорта"
Номер опубликования: 2400202412160023
Дата опубликования: 16.12.2024
Страница №11 из 35:
Увеличить