Официальное опубликование правовых актов
ОФИЦИАЛЬНОЕ ОПУБЛИКОВАНИЕ
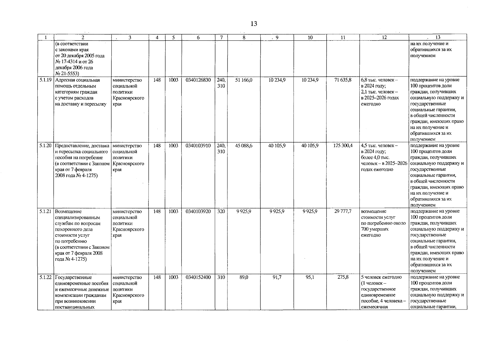
Постановление Правительства Красноярского края от 10.12.2024 № 1002-п
"О внесении изменений в постановление Правительства Красноярского края от 30.09.2013 № 507-п "Об утверждении государственной программы Красноярского края "Развитие системы социальной поддержки граждан"
Номер опубликования: 2400202412160028
Дата опубликования: 16.12.2024
Страница №17 из 85:
Увеличить