Официальное опубликование правовых актов
ОФИЦИАЛЬНОЕ ОПУБЛИКОВАНИЕ
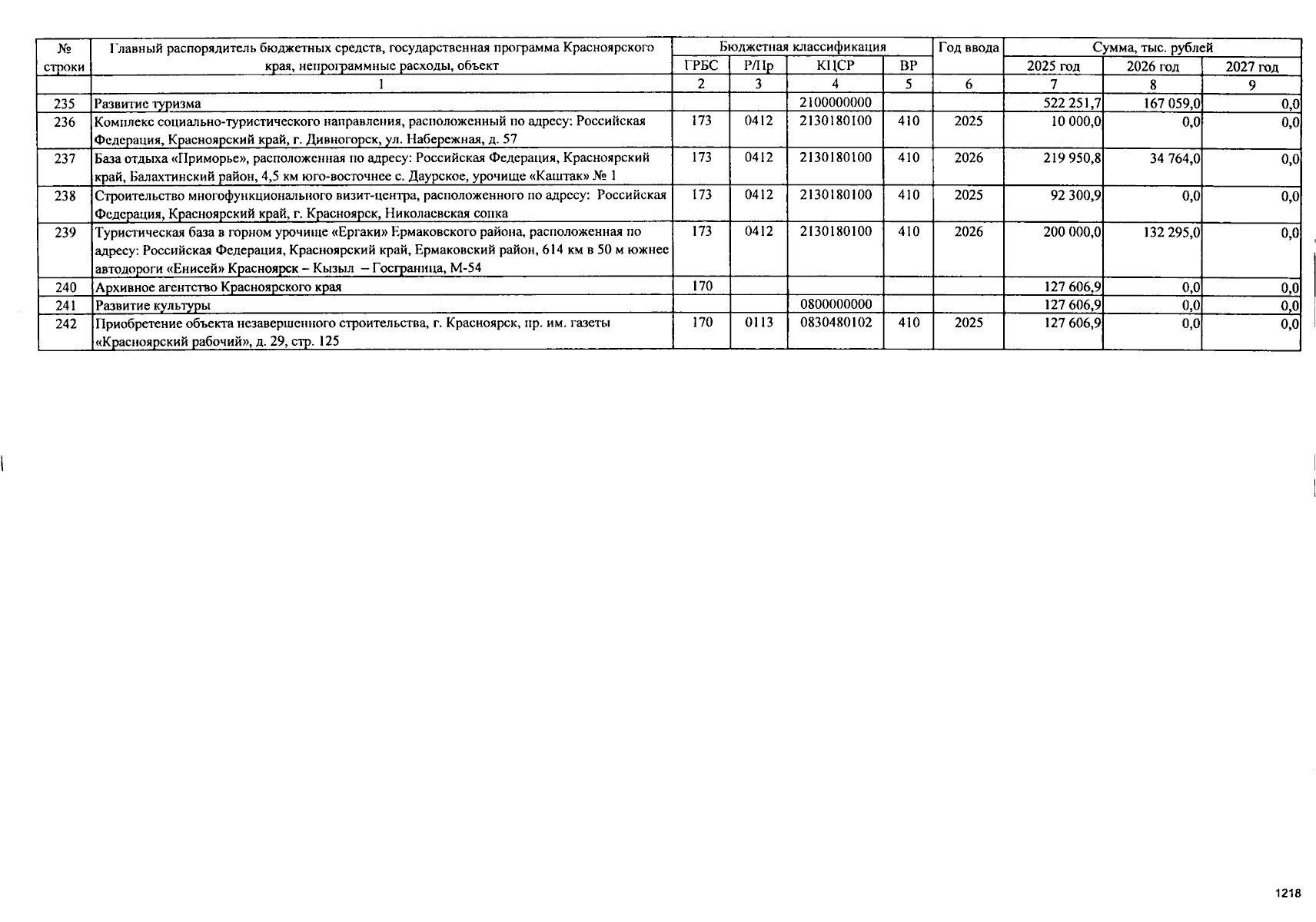
Закон Красноярского края от 05.12.2024 № 8-3382
"О краевом бюджете на 2025 год и плановый период 2026–2027 годов" (принят Законодательным Собранием Красноярского края 05.12.2024, подписан Губернатором Красноярского края 11.12.2024)
Номер опубликования: 2400202412180021
Дата опубликования: 18.12.2024
Страница №1218 из 1221:
Увеличить