Официальное опубликование правовых актов
ОФИЦИАЛЬНОЕ ОПУБЛИКОВАНИЕ
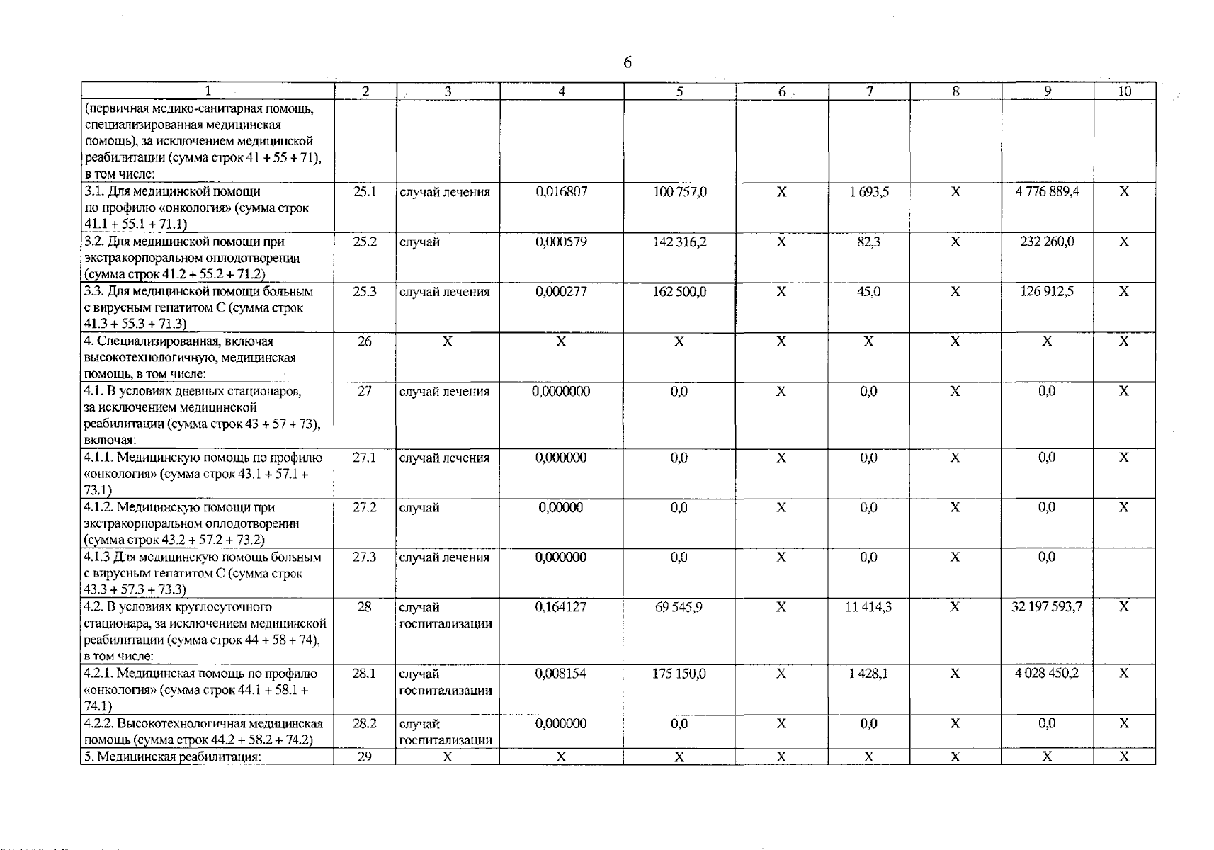
Постановление Правительства Красноярского края от 10.12.2024 № 997-п
"О внесении изменений в постановление Правительства Красноярского края от 26.12.2023 № 1081-п "Об утверждении Территориальной программы государственных гарантий бесплатного оказания гражданам медицинской помощи в Красноярском крае на 2024 год и на плановый период 2025 и 2026 годов"
Номер опубликования: 2400202412180025
Дата опубликования: 18.12.2024
Страница №25 из 65:
Увеличить