Официальное опубликование правовых актов
ОФИЦИАЛЬНОЕ ОПУБЛИКОВАНИЕ
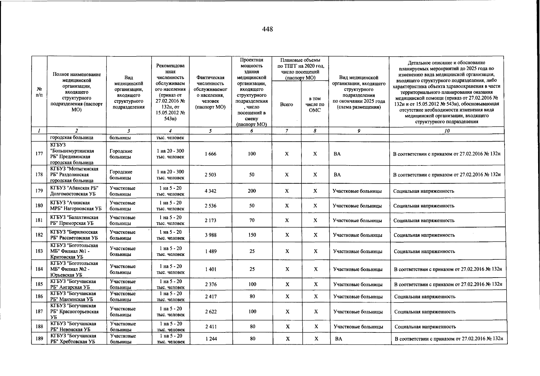
Постановление Правительства Красноярского края от 18.12.2024 № 1031-п
"О внесении изменения в постановление Правительства Красноярского края от 15.12.2020 № 855-п "Об утверждении региональной программы Красноярского края "Модернизация первичного звена государственной системы здравоохранения Красноярского края"
Номер опубликования: 2400202412240001
Дата опубликования: 24.12.2024
Страница №488 из 888:
Увеличить