Официальное опубликование правовых актов
ОФИЦИАЛЬНОЕ ОПУБЛИКОВАНИЕ
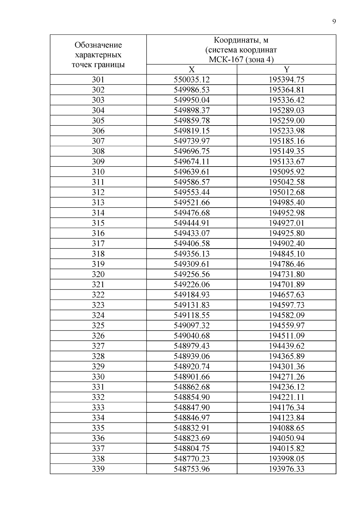
Закон Красноярского края от 19.12.2024 № 8-3475
"О внесении изменений в Закон края "Об установлении границ и наделении соответствующим статусом муниципального образования Партизанский район и находящихся в его границах иных муниципальных образований" (принят Законодательным Собранием Красноярского края 19.12.2024, подписан Губернатором Красноярского края 25.12.2024)
Номер опубликования: 2400202412280020
Дата опубликования: 28.12.2024
Страница №46 из 850:
Увеличить