Официальное опубликование правовых актов
ОФИЦИАЛЬНОЕ ОПУБЛИКОВАНИЕ
Закон Красноярского края от 24.04.2025 № 9-3859
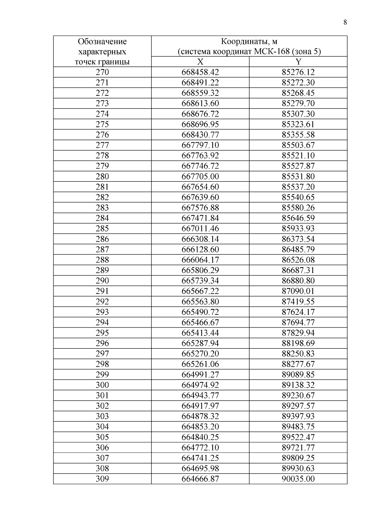
"О внесении изменения в приложение 22 к Закону края "Об установлении границ и наделении соответствующим статусом муниципального образования Ирбейский район и находящихся в его границах иных муниципальных образований" (принят Законодательным Собранием Красноярского края 24.04.2025, подписан Губернатором Красноярского края 05.05.2025)
Номер опубликования: 2400202505070022
Дата опубликования: 07.05.2025
Страница №9 из 31:
Увеличить