Официальное опубликование правовых актов
ОФИЦИАЛЬНОЕ ОПУБЛИКОВАНИЕ
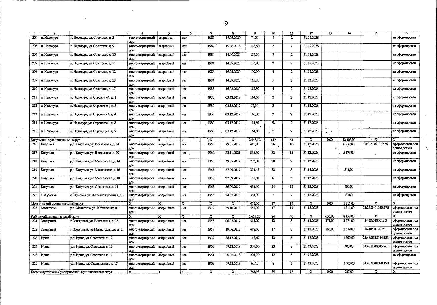
Постановление Правительства Красноярского края от 24.09.2025 № 809-п
"Об утверждении региональной адресной программы "Переселение граждан из аварийного жилищного фонда в Красноярском крае" на 2025—2028 годы"
Номер опубликования: 2400202510010001
Дата опубликования: 01.10.2025
Страница №37 из 47:
Увеличить