Официальное опубликование правовых актов
ОФИЦИАЛЬНОЕ ОПУБЛИКОВАНИЕ
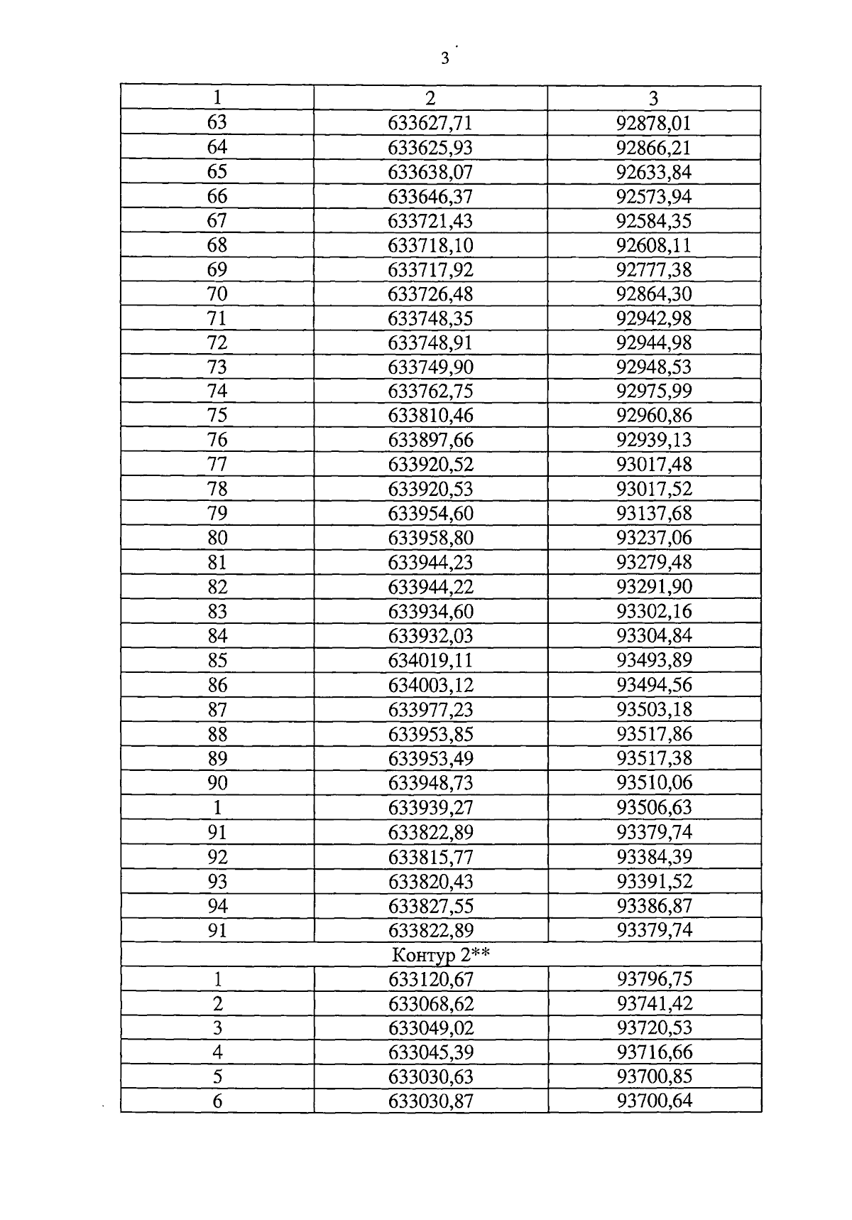
Постановление Правительства Красноярского края от 14.10.2025 № 893-п
"О внесении изменения в постановление Правительства Красноярского края от 27.06.2023 № 531-п "О резервировании земель для государственных нужд Красноярского края"
Номер опубликования: 2400202510170020
Дата опубликования: 17.10.2025
Страница №5 из 17:
Увеличить