Официальное опубликование правовых актов
ОФИЦИАЛЬНОЕ ОПУБЛИКОВАНИЕ
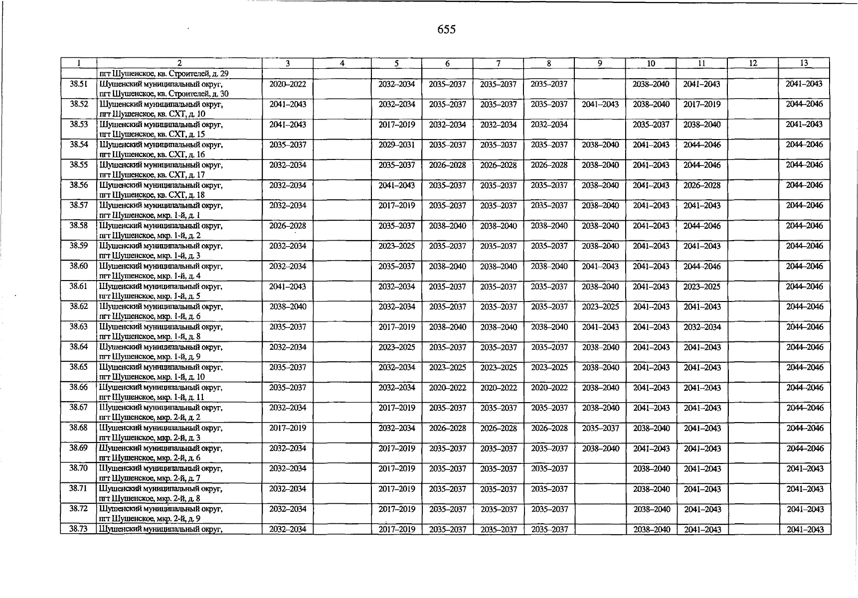
Постановление Правительства Красноярского края от 31.03.2026 № 280-п
"О внесении изменений в постановление Правительства Красноярского края от 27.12.2013 № 709-п "Об утверждении региональной программы капитального ремонта общего имущества в многоквартирных домах, расположенных на территории Красноярского края"
Номер опубликования: 2400202604100002
Дата опубликования: 10.04.2026
Страница №657 из 669:
Увеличить