Официальное опубликование правовых актов
ОФИЦИАЛЬНОЕ ОПУБЛИКОВАНИЕ
Приказ министерства транспорта Красноярского края от 23.08.2022 № 83-68п
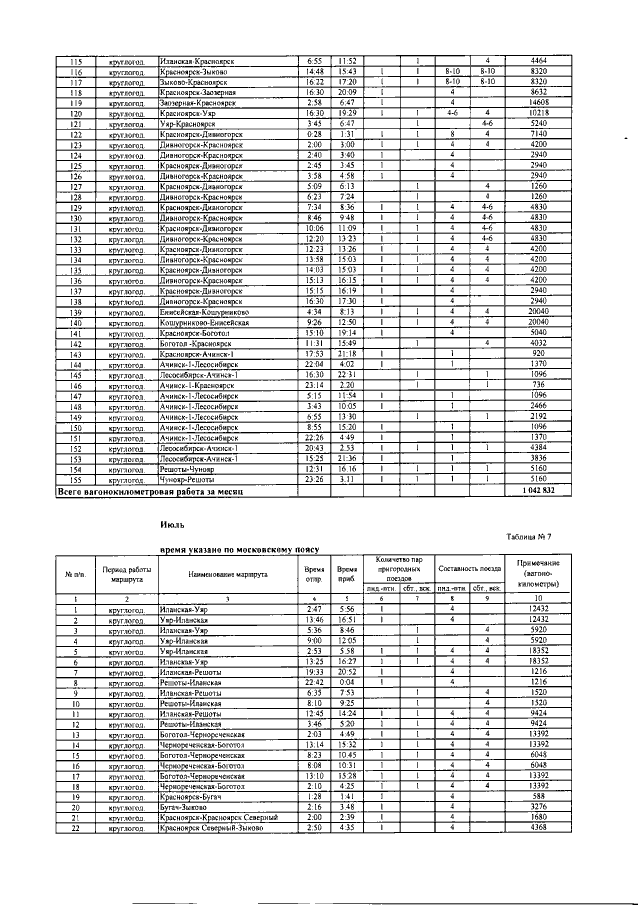
"Об утверждении программы пассажирских перевозок железнодорожным транспортом в пригородном сообщении, субсидируемых из краевого бюджета в 2023 году"
Номер опубликования: 2401202208290001
Дата опубликования: 29.08.2022
Страница №15 из 28:
Увеличить