Официальное опубликование правовых актов
ОФИЦИАЛЬНОЕ ОПУБЛИКОВАНИЕ
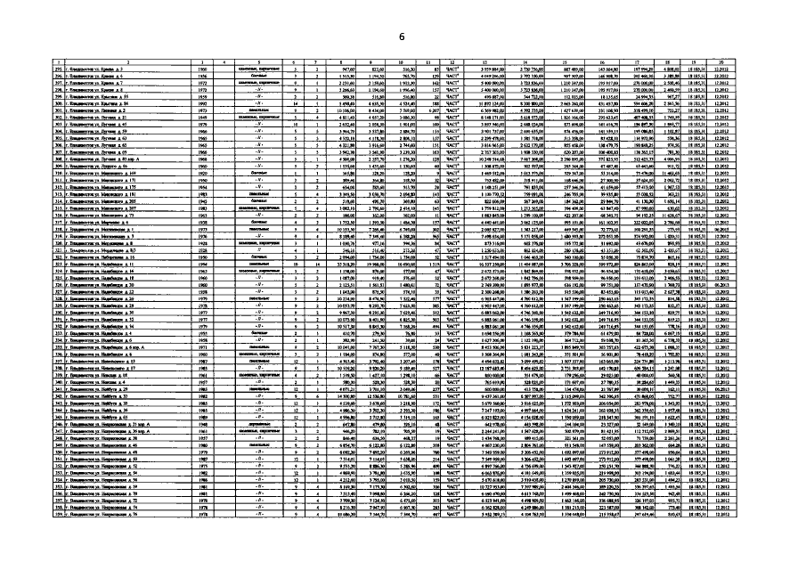
Постановление Администрации Приморского края от 03.06.2015 № 176-па
"О внесении изменений в постановление Администрации Приморского края от 5 февраля 2014 года № 31-па "О завершении реализации краевой программы "Адресная программа по проведению капитального ремонта многоквартирных домов во Владивостокском городском округе Приморского края"
Номер опубликования: 2500201506030001
Дата опубликования: 03.06.2015
Страница №9 из 23:
Увеличить