Постановление Администрации Приморского края от 19.09.2016 № 438-па
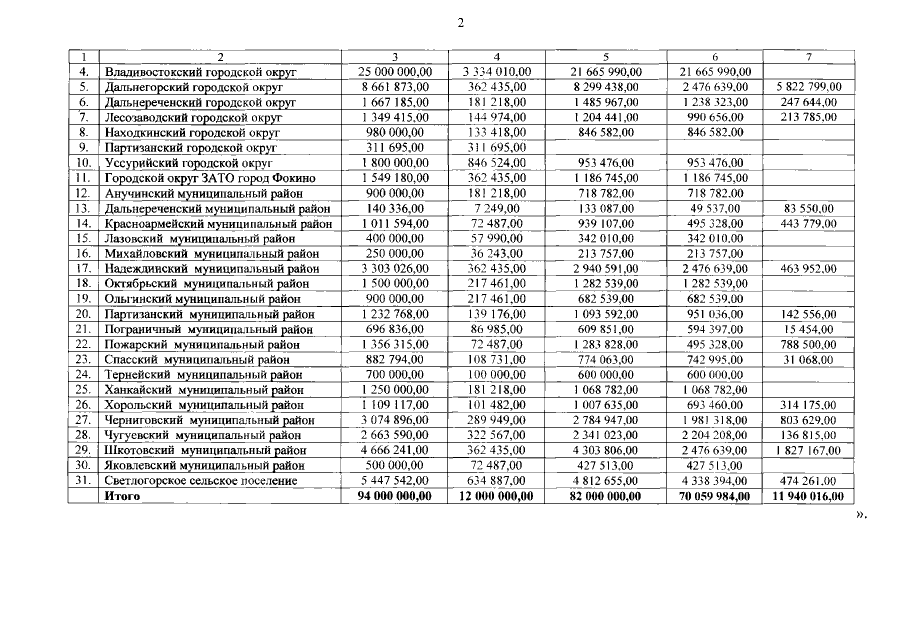
"О внесении изменений в постановление Администрации Приморского края от 4 апреля 2016 года № 128-па "О распределении субсидий из краевого бюджета бюджетам муниципальных образований Приморского края на поддержку муниципальных программ развития малого и среднего предпринимательства на 2016 год"
"О внесении изменений в постановление Администрации Приморского края от 4 апреля 2016 года № 128-па "О распределении субсидий из краевого бюджета бюджетам муниципальных образований Приморского края на поддержку муниципальных программ развития малого и среднего предпринимательства на 2016 год"
Номер опубликования: 2500201609200002
Дата опубликования:
20.09.2016
