Официальное опубликование правовых актов
ОФИЦИАЛЬНОЕ ОПУБЛИКОВАНИЕ
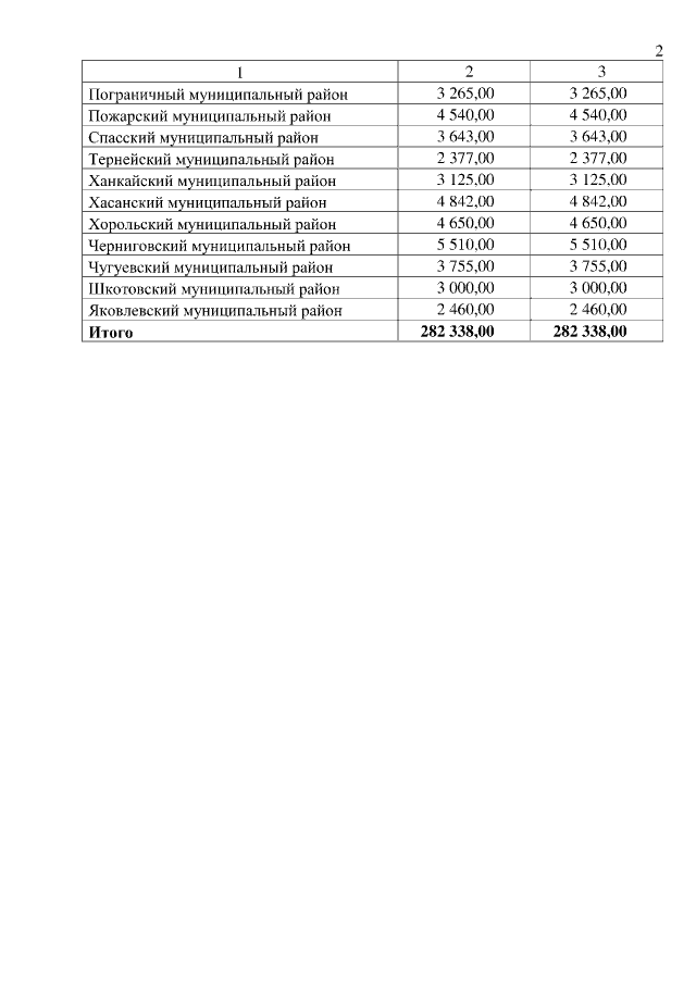
Закон Приморского края от 23.12.2016 № 52-КЗ
"О краевом бюджете на 2017 год и плановый период 2018 и 2019 годов"
Номер опубликования: 2500201612270005
Дата опубликования: 27.12.2016
Страница №1149 из 1213:
Увеличить