Официальное опубликование правовых актов
ОФИЦИАЛЬНОЕ ОПУБЛИКОВАНИЕ
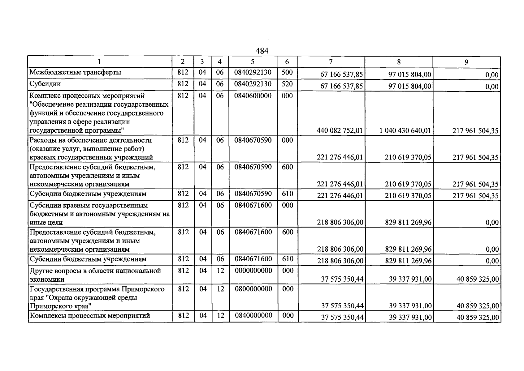
Закон Приморского края от 06.10.2025 № 884-КЗ
"О внесении изменений в Закон Приморского края "О краевом бюджете на 2025 год и плановый период 2026 и 2027 годов"
Номер опубликования: 2500202510060001
Дата опубликования: 06.10.2025
Страница №897 из 1199:
Увеличить