Официальное опубликование правовых актов
ОФИЦИАЛЬНОЕ ОПУБЛИКОВАНИЕ
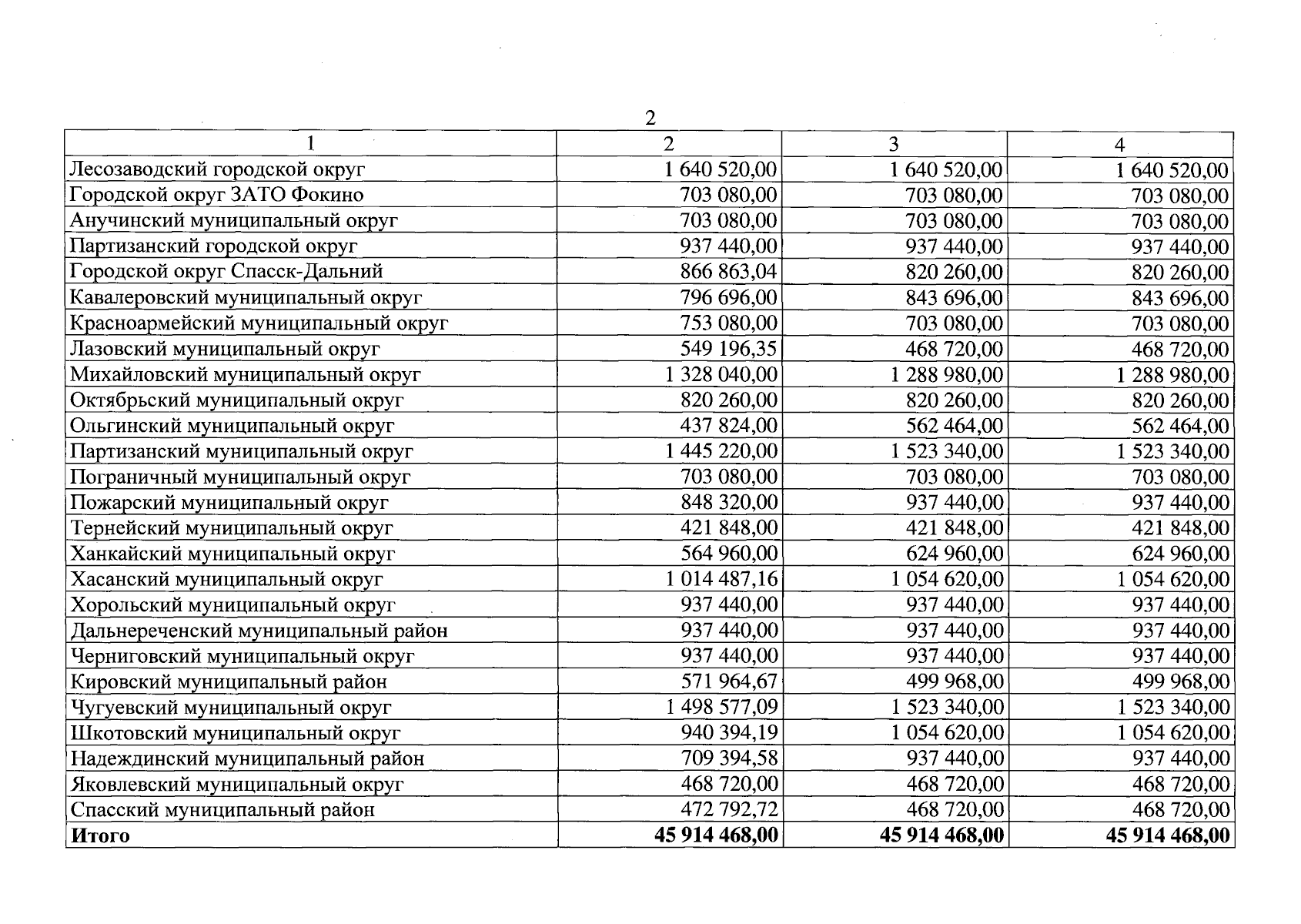
Закон Приморского края от 26.11.2025 № 916-КЗ
"О внесении изменений в Закон Приморского края "О краевом бюджете на 2025 год и плановый период 2026 и 2027 годов"
Номер опубликования: 2500202511260001
Дата опубликования: 26.11.2025
Страница №1250 из 1250:
Увеличить