Официальное опубликование правовых актов
ОФИЦИАЛЬНОЕ ОПУБЛИКОВАНИЕ
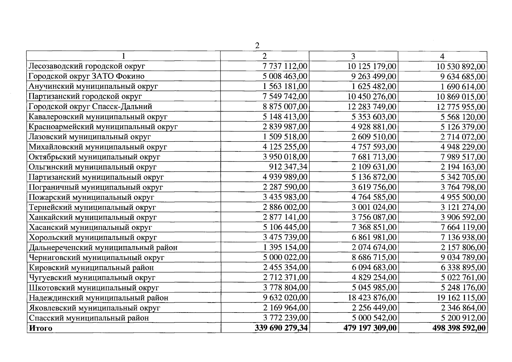
Закон Приморского края от 17.12.2025 № 929-КЗ
"О внесении изменений в закон Приморского края "О краевом бюджете на 2025 год и плановый период 2026 и 2027 годов"
Номер опубликования: 2500202512170003
Дата опубликования: 17.12.2025
Страница №1262 из 1275:
Увеличить