Официальное опубликование правовых актов
ОФИЦИАЛЬНОЕ ОПУБЛИКОВАНИЕ
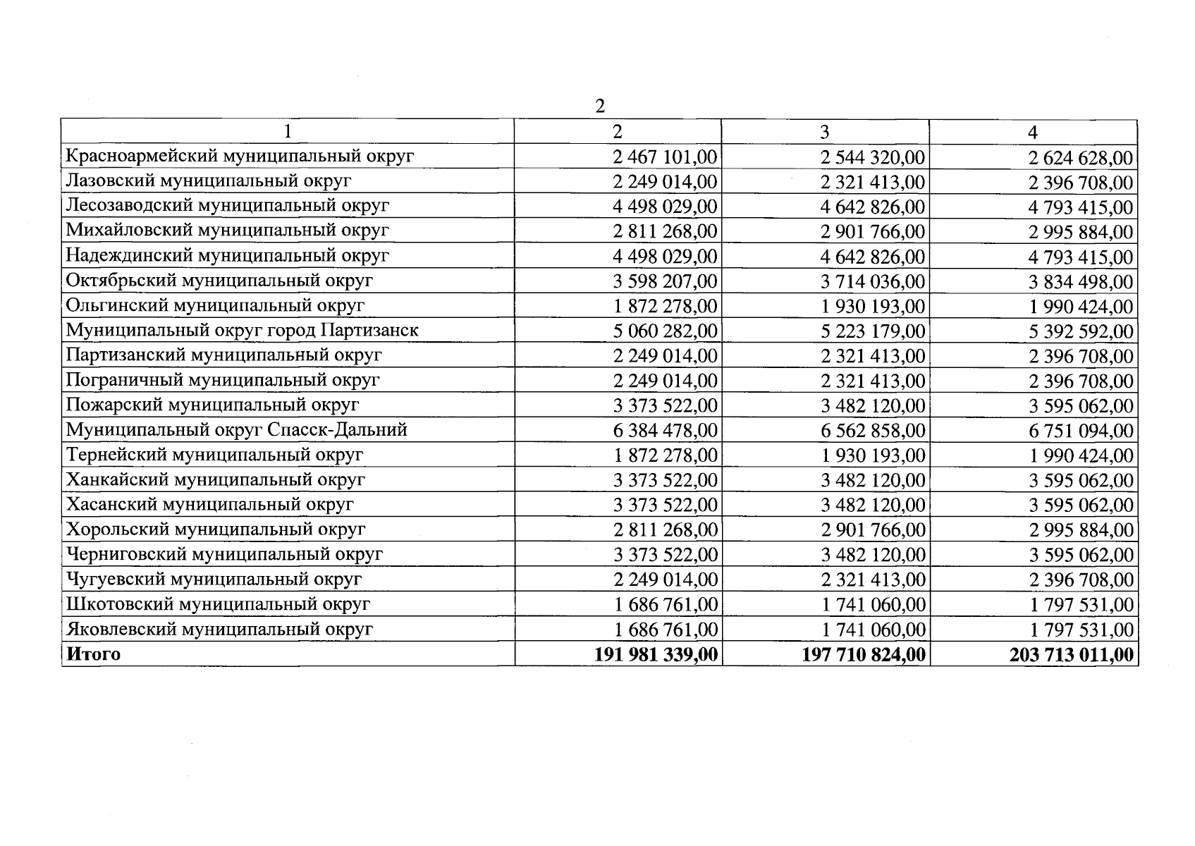
Закон Приморского края от 17.12.2025 № 930-КЗ
"О краевом бюджете на 2026 год и плановый период 2027 и 2028 годов"
Номер опубликования: 2500202512170004
Дата опубликования: 17.12.2025
Страница №1267 из 1297:
Увеличить