Официальное опубликование правовых актов
ОФИЦИАЛЬНОЕ ОПУБЛИКОВАНИЕ
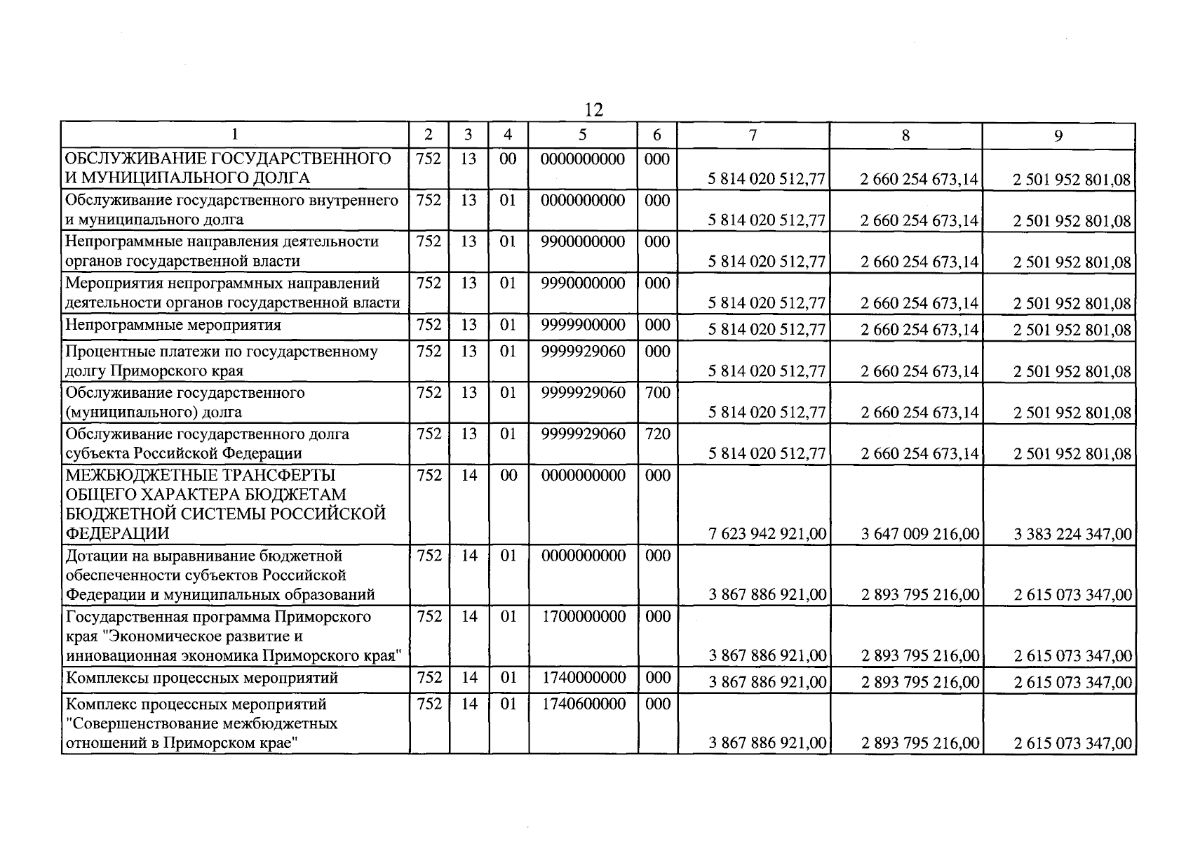
Закон Приморского края от 28.01.2026 № 948-КЗ
"О внесении изменений в Закон Приморского края "О краевом бюджете на 2026 год и плановый период 2027 и 2028 годов"
Номер опубликования: 2500202601280001
Дата опубликования: 28.01.2026
Страница №383 из 1140:
Увеличить