Официальное опубликование правовых актов
ОФИЦИАЛЬНОЕ ОПУБЛИКОВАНИЕ
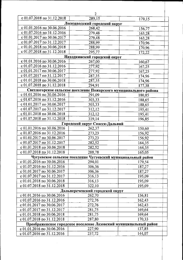
Постановление департамента по тарифам Приморского края от 20.12.2016 № 70/26
"О внесении изменений в постановление департамента по тарифам Приморского края от 17 декабря 2015 года № 64/11 "Об утверждении производственных программ и об установлении долгосрочных параметров регулирования и тарифов на горячую воду (закрытая система) для потребителей краевого государственного унитарного предприятия "Примтеплоэнерго", находящихся на территории Приморского края"
Номер опубликования: 2501201612280029
Дата опубликования: 28.12.2016
Страница №64 из 65:
Увеличить