Официальное опубликование правовых актов
ОФИЦИАЛЬНОЕ ОПУБЛИКОВАНИЕ
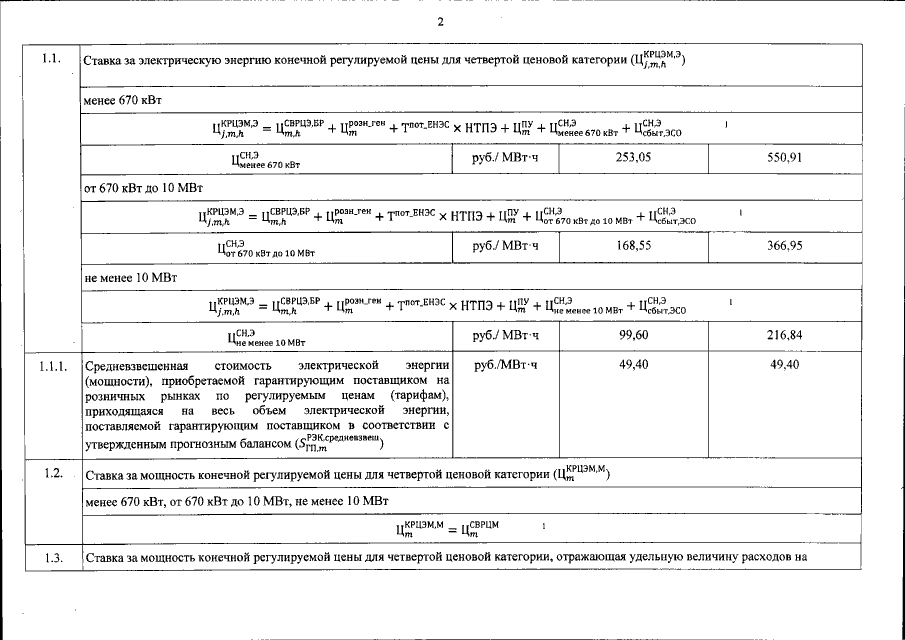
Постановление департамента по тарифам Приморского края от 26.12.2018 № 72/21
"Об установлении цен (тарифов) на электрическую энергию (мощность), поставляемую покупателям Приморского края на территориях, объединенных в неценовые зоны оптового рынка, за исключением электрической энергии (мощности), поставляемой населению и приравненным к нему категориям потребителей, по договорам энергоснабжения энергосбытовой организацией ООО "РУСЭНЕРГОСБЫТ"
Номер опубликования: 2501201812270002
Дата опубликования: 27.12.2018
Страница №39 из 46:
Увеличить