Официальное опубликование правовых актов
ОФИЦИАЛЬНОЕ ОПУБЛИКОВАНИЕ
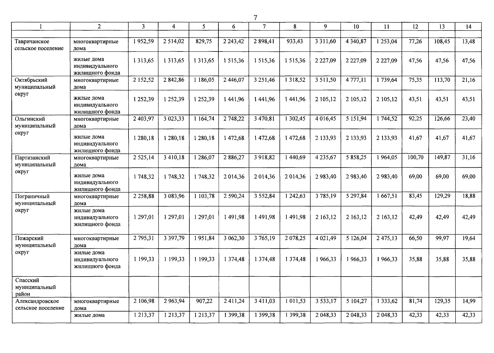
Постановление Правительства Приморского края от 26.08.2024 № 610-пп
"О региональных стандартах стоимости жилищно- коммунальных услуг на 2024 год"
Номер опубликования: 2501202408290002
Дата опубликования: 29.08.2024
Страница №14 из 27:
Увеличить