Официальное опубликование правовых актов
ОФИЦИАЛЬНОЕ ОПУБЛИКОВАНИЕ
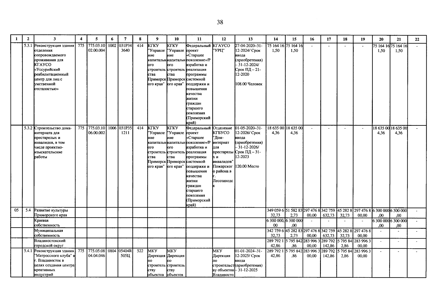
Постановление Правительства Приморского края от 11.10.2024 № 692-пп
"О внесении изменений в постановление Правительства Приморского края от 27 декабря 2023 года № 956-пп "Об утверждении адресной инвестиционной программы Приморского края на 2024 год и плановый период 2025 и 2026 годов"
Номер опубликования: 2501202410150001
Дата опубликования: 15.10.2024
Страница №39 из 96:
Увеличить